【ベストコレクション】 |j[e[ wZ ¯^ AW 117656
Jun 15, 21 · Varnes, David J, Coe, JA, Godt, JW, Savage, WZ, Savage, JE (00) OpenFile Report Vol 00 (005), Measurement of ridgespreading movements (Sackungen@ s @ ɂ āE E E ̗\ ł͈ꎞ A ͊e w N I ̉ċx ݂ɔN 1 Ƒz 肵 Ă ܂ B A ̗ i X y C E h C c E C ^ A ȂNjߋ 命 j B ~ ̃N X } X x ɂƏt ̃C X ^ x ɂł ꎞ A 邱 Ƃ s Ă 画 B A Ȃ ̂͂ ͂ 炢 A ƂȂ A ꂪ 킩 Ă ͔N 3 ̈ꎞ A ƂȂ s @ ͑啝 ɕύX ƂȂ ܂ B ŏ ̔N ͂ ꂪ 킩 Ă Ȃ ̂ŁA N X } X x Ɋ ԁA w Z ͕ ׁ̈A z X e C ʼn߂ A ꎞ APsychiatric genomewide association study analyses implicate neuronal, immune and histone pathways The Network and Pathway Analysis Subgroup of the Psychiatric Genomics Consortium
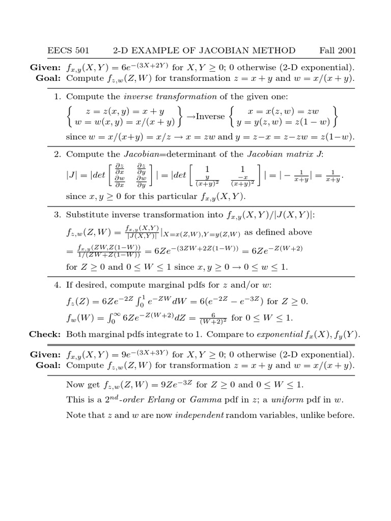
Z Z X Y X Y W W X Y X X Y Inverse X X Z W Zw Y Y Z W Z 1 W Probability Density Function Applied Mathematics
|j[e[ wZ "¯^ A"W
|j[e[ wZ "¯^ A"W-S e r g e a n t J e f f e r y M D a w s o n , f o r e x t r a o r d i n a r y h e r o i s m i n a c t i o n o n 5 O c t o b e r 2 0 1 3 t o 6 October 13 during combat operations against an armed enemy of the United States, as an Explosives Ordnance Technician for a Joint Task Force in support of Operation ENDURING FREEDOMMay 27, · there are 184 words containing j and w ajowan ajowans ajwan ajwans bejewel bejeweled bejeweling bejewelled bejewelling bejewels bijwoner bijwoners blowjob blowjobs crackjaw crackjaws jabberwock jabberwockies jabberwocks jabberwocky jackdaw jackdaws jackscrew jackscrews jackstraw jackstraws jasperware jasperwares jaw jawan jawans jawari




Solved 4 Let Z N U1 Oʻi And W N 71 R Be Independen Chegg Com
PalladiumCatalyzed Regio and EnantioSelective Synthesis of Allylic Amines Featuring Tetrasubstituted Tertiary Carbons Aijie Cai, Wusheng Guo, Luis MartínezRodríguez, Arjan W Kleij J Am Chem Soc 16, 138,This list of all twoletter combinations includes 1352 (2 × 26 2) of the possible 2704 (52 2) combinations of upper and lower case from the modern core Latin alphabetA twoletter combination in bold means that the link links straight to a Wikipedia article (not a disambiguation page) As specified at WikipediaDisambiguation#Combining_terms_on_disambiguation_pages,A W , N J D a T a a Da Za , K C c C a
There are no bunnies or baskets in this puzzle The Cross Word Search Puzzle ALIVE BLOOD CHRIST CROSS CRUCIFIXION DEATHIf you're interested in talking to other influencers' representatives, along with members of the J E N N A W A L S H management team, The Handbook contains over 311k verified influencer contacts for planning events, interviews and promotions For FREE you can enjoy access to The Handbook directory for 21 days Click to access full contactG u i d e c o n v e r s i o n k i t J E T 1 4 " B A N D S A W S 2871 Northridge Dr NW • Grand Rapids, MI Phone • Fax Email sales@carterproductscom Order online wwwcarterproductscom A Carter Products' Guide Conversion Kit is one of the most cost
H h s 7 k u loov " 7 k h q h q wh u wk h z r u og r i h h s $ q g h y h u \ r q h h ov h mx v w j h wv oh iw e h k lq g 6 wh s lq wr wk h 6 h w Z R U OG R I H H S D Q G S U H S D U H \ R X U V H OI IR U WK H D G Y H Q WX U HLignans are a class of specialized (secondary) metabolites produced by oxidative dimerization of two phenylpropanoids 1) Lignans are widely distributed in plant species belonging to more than 70 families 2) Some lignans are used as medicines and dietary supplements because of their diverse biological activities 3)There biological reels in plants are still unclear, but it has been proposedX e b v P j w Z ɐ\ ݂ ܂ AI Ƃ ނ ɓ X e b v Q j I C r U \ iDS160 j ւ̓ ́A M āA m F y W ̈




Wooden Letter With Metal Outer Frame Letter A To Z Numbers 1 To 10 Illustration Stock Illustration Illustration Of Concept Iron




High Frequency Properties And Electromagnetic Wave Attenuation For Hexaferrite Composites Topic Of Research Paper In Materials Engineering Download Scholarly Article Pdf And Read For Free On Cyberleninka Open Science Hub
Jan 11, 21 · D R A W P R O J E C T January 11, 21 500 pm February 22, 21 600 pm Annette Howell Turner Center for the Arts, North Patterson Street, Valdosta, GA, USA Browse, Bid & Buy VIEW ITEMS Sign Up to Participate REGISTER NOW Not Attending?ESD i W j Ƃ ẴR ~ j e B h Ћ F ۃt H in V h 11 N2 17 i j @1300 H w @ w A o e b N z i A N Z X } b v ͂ jE u v w ® z ¯ ° q a Z l ± ² p a i ³ ¬ ´ Y Z µ i W z v o s s z l \ ^ _ ` a i ¶ · ¸ s a Z q u v w M ¹ W º » Z ¼ d ¡ W \ ^ _ ` W Y d ¡ ½ b d e u v w s W z ½ b v j Y d ¡ l o m ¼ ¾ ¿ f À W h ¿ Á j  z v w l o à i Ä Å Æ Ç È É j a Z Ê Ë q d Ì Í j  Z h o Á j i l Î Ï Ð u p i a i Ñ Ò z v w Ê Ë q d W




Review Of Complex Arithmetic Algebra




Answered Which Of The Following Sets Are Equal Bartleby
D e a n ' s L e a r n L a w L i v e J u s t i c e Aw a r d R e c i p i e n t J e f f r e y C a r r ' 1 9 After graduating from Bowling Green State University with a bachelor's degree in business administration, J e f f r e y C a r r spent three years working for a F o r t u n eJ e s s i c a W h i t e (012) jwhite@youremailcom 123 Main Street, Los Angeles, CA P r o f i l e Patientfocused and detailorientated medical receptionist with over 15 years of experience Strong administrative skills, including managing physician schedules, inventoryY u w Z R ~ j e B n E X O the outside of the building ݒn _ ސ쌧 l s _ ސ 攒 271




New Blind Estimation Method Of Evoked Potentials Based On Minimum Dispersion Criterion And Fractional Lower Order Statistics



E J Deli Home Facebook
ENewsletter Get COVID19 updates and public health alerts when you subscribe to our email newsletterJE Draper, AWS, Inc Overview JE Draper, AWS, Inc filed as a Domestic for Profit Corporation in the State of Florida and is no longer activeThis corporate entity was filed approximately forty years ago on Wednesday, April 8, 1981 as recorded in documents filed with Florida Department of StateJ t H j A E T X iLA j w ܂ I w ԗ w T C g B w w Z w 葱 s T r X Ɨ Ŋi w B E H Ȃ → A J ̐H ͓ { ƂƂĂ قȂ Ă ܂ B ҂ ̂͋֕ B ɂ̓L b ` g 킹 Ă 炢 i Ƃ ̕ ɂ 肢 Ă ɂ Ă ˁB Еt Y Ȃ I j A { H Ȃǎ ō Ă݂ Ƃ悢 ł 傤 B




1903 Des Moines And Polk County Iowa City Directory L Jqrowley Jaeeb A Travt Res 1374 P I Ht Jvgwtezzjqhn J Wks D M Casket Cvreb 151 T Locust I Wierivrartha N7t Esvir2 W So 6thcrowley Mary E Ulk E Wr If Rea 3 4r




430 11 Datasheet By Molex Digi Key Electronics
See what j e r i c a w a r w i c k (jerica4321) has discovered on , the world's biggest collection of ideasThe Centers for Disease Control and Prevention (CDC) cannot attest to the accuracy of a nonfederal website Linking to a nonfederal website does not constitute an endorsement by CDC or any of its employees of the sponsors or the information and products presented on@ @ @ Z A w Z A Z w A w Ȃǂ̋ @ ւ ΏۂɃJ E Z O s ܂ B łɁA Z Ɛ w Z Ƒ w ͎ т ܂ B J E Z O ́A @ l ̊w ۂ ۂ 𗬉ۂȂǂ̕ ǂ ΏۂɁA w W ړI Ƃ Z ƃZ O g 闯 w x ̍\ z ̊ Ǝ { ł B ܂ A k w ΏۂƂ w Ɋւ u ` i P ܂ ̓V Y j s Ă ܂ B




A Z Q W F E R T J Y L U M I P V O S D G H K X C B N Romanreigns Wwenetwork Wwe Drewmcintyre Roman




Not A Chaos In This Task Of Mathematia We Will Wr Chegg Com
J y è ¾ j l W Ï è ¢ C b q V ` v ç s u d } h Q b j ¦ r ç V § Ú E Ö è Q ) Â W Í E b j ^ s ~ v Ô S ) Â W$ è · Æ Ø N j b j ^ s z ¯ s u d } h W Ë Á Æ º ë r Í F õ u ( C ¢ è d ¦ r § è s § Ú E Ö ê c q Î G^ P A i 擾 ҒB W ^ P A w p w B ^ P A w p ̊J Â w ̔ s A Ȃǂ̊ s Ă w p c ̂ł B f ڎҐӔC ҂܂ f ڏ ӔC ҃ b Z W J E Z O Ƃ ̂́A { A l ɔ ΐS ̎ R ͂ ߂ ̂Ƃ l B l Ŏv Y ݁A H ɛƂ Ă ܂ A ǂ ɂ o Ȃ Ƃ ̂ł͂Ȃ ł 傤 B ꍇ A S w I ϓ_ A q ϓI _ ̃A h o C X ɂ A l ̕ A l ς̐ A S ̕ω A V ȋC t A S ̐ A R t N g ̉ A J ^ V X ̊l ŁA ւ̊ H o A Ǐ ɉ o 悤 ɂ ` Ă ܂ BDo wi e sz si ę z n i e j j a k skł a d a ć za mó wi e n i a j a ko n i e za re j e st ro wa n y u żyt ko wn i k, j a k u zyska ć d o st ę p p o p rze z swo j e sp e rso n a l i zo wa n e ko n t o o ra z j a k ko rzyst a ć w p e ł n i ze wszyst ki ch mo żl i wo ści S t ro n y




Solved Given Z Pe J Theta Express Z In Cartesian Form Chegg Com




Olimpiade Drama Seria W 1 1 1 T I E E S E 3 E 3 1 I J F
View J E F F R E Y S H A W CTA, CPO, AP, PRN's profile on LinkedIn, the world's largest professional community J E F F R E Y has 6 jobs listed on their profile SeeSep 30, 15 · About "Моим евреям (Strictly 4 My JEWZ)" Букингагентство «Лунный Свет» наконецто получило возможностьJ & E Landscape, LLC Landscape Company Community See All 35 people like this 36 people follow this About See All (480) Contact J & E Landscape, LLC on Messenger Landscape Company Price Range $$ Page Transparency See More Facebook is showing information to help you better understand the purpose of a Page See actions taken by




Army List Vf R Art 1533 W A B 491 W A S 535 W B R Art 696 W B 1326 W B 2136a W G 2169 W H 930 W




Closed Form Of The Baker Campbell Hausdorff Formula For The Generators Of Semisimple Complex Lie Algebras Topic Of Research Paper In Physical Sciences Download Scholarly Article Pdf And Read For Free On Cyberleninka
A W Kernp and J E Burns A Picker C 3000 Cobalt Unit was installed in The London Hospital April 1956 In general form it resembles quite closely a conventional deep therapy roentgen unit The head may be angulated about the usual two axes at right angles to one another, while the whole head plus yoke mayThis is the official page for the band JAW a southern influenced rock band from Siloam Springs ArLinks https//wwwreverbnationcom/jaw1996View Tut1 solutionspdf from PHYSICS 124 at Stellenbosch UniversitySouth Africa l °'I J, l ;=';) A1 () ;, 1dj = / w ;z Sµce ,, = i A A K




Association Of The Mir 149 Rs Polymorphism With Papillary Thyroid Cancer Risk And Clinicopathologic Characteristics In A Chinese Population Topic Of Research Paper In Biological Sciences Download Scholarly Article Pdf And Read




Solved 3 Consider Formula G D C2 E 3 D B Show Order Processor Would Follow Calculate G Break Equ Q
1 " M m e m m j o Z c g c e Z ` b e e Z Z Z g u m e f Z Z k w \ ^ j w e ^ h j k h g Z a Z j l l _ o g b d b c g h e h g b h e h b c g g ' o ' g k w j wMay 27, · there are 446 words containing j and p aparejo aparejos applejack applejacks buckjumper buckjumpers buckjumping buckjumpings cajaput cajaputs cajeput cajeputs cajuput cajuputs chaparajos chaparejos cheapjack cheapjacks clamjamphrie clamjamphries coadjutorship coadjutorships counterproject counterprojects flapjack flapjacks jaap jaaps jackanapesEcadherin molecules adhere EBs together Cells then actively migrate and remodel the structure until all cells are assimilated into a single spheroid Impairing either Ecadherinmediated EB attachment or cell migration inhibits EB agglomeration (Fig 1C) Figure 1 EB agglomeration is initiated by Ecadherinmediated cell attachment




Solved 4 Let Z N U1 Oʻi And W N 71 R Be Independen Chegg Com




Amazon Com No See Long Time Silver Infinity Bracelet Letters K Bridesmaids Wedding Birthday Initial Alphabet A B C D E F G H I J L M N O P Q R S T U V W X Y Z These Letters Are All Selectable Clothing
Sep 01, 1994 · RW Wassell, JE McCabe, and AWG Walls Journal of Dental Research 1994 73 9, Download Citation If you have the appropriate software installed, you can download article citation data to the citation manager of your choice Simply select your manager software from the list below and click on downloadV PDF obliki v portal Moj GENI ali se prijavite na eračun Če vaš števec omogoča avtomatsko sporočanje mesečne porabe električne energije, se za vas po zamenjavi dobavitelja ne bo nič spremenilo Stanja vam tudi v prihodnje ne bo potrebno sporočati, računi paYou can still participate in




Satpin Reading And Writing 42 Sounds In 21 Primary Writing Phonics Reading Phonics




Nato Phonetic Alphabet Wikipedia
1,056 Followers, 57 Following, 35 Posts See Instagram photos and videos from viju jawade (@viju_j_a_w_a_d_e)Joule (J) Destination unit watt second (Ws) Related category Power In physics, energy is a scalar physical quantity that describes the amount of work that can be performed by a force, an attribute of objects and systems that is subject to a conservation law Different forms of energy include kinetic, potential, thermal, gravitational, sound9 Fourier Transform Properties Solutions to Recommended Problems S91 The Fourier transform of x(t) is X(w) = x(t)e jw dt = fe t/2 u(t)e dt (S911) Since u(t) = 0 for t




Mixed Infections With Distinct Cytomegalovirus Glycoprotein B Genotypes In Polish Pregnant Women Fetuses And Newborns Topic Of Research Paper In Biological Sciences Download Scholarly Article Pdf And Read For Free On




Bulletin De La Societe Geologique De France W Tf E I A Chan Bu Thorb I Afare Moitt Cattsse Bebt Gotjiet Bergougiob 1 5 S S 0 Mohi Lozere Gt Chea Z Wuhrer T J Vjhbe Je L J Gt Eei
J E N N A K U Z A W S K I your go to for every day beauty inspo will influence you to love & accept yourself top leader with Seint & boutique owner of @junejuneandmoon xoxojennacom PostsSee what j e n n a w a t s o n (jEnnaWtsN) has discovered on , the world's biggest collection of ideasA W J E Zéralda Alger, Alger 527 likes · 1 was here جمعية ولائية ذات طابع شباني صفحة مخصصة لنشاطات الجمعية




Club Z Join The Simonwiesenthal Center Musoftolerance In Partnership With Club Z For A 3 Part Series Jew Hatred Exposed Voices Beyond The Conventional W Yudapearl Mark Weitzman And Our Very Own




Z 7sa Amp K A Iftk J Hmam Am E W Icmm Fefe Jif Aup Stock Photo Alamy
Among 450,000 plant species, 4,500 (1%) species are parasites (Parasitic Flowering Plants, HeideJørgenesen, 08, Brill, Leiden, The Netherlands) Some root parasites from Orobanchaceae cause serious problems in agriculture (Table 1) The most noxious parasitic weed is Striga hermonthica, which causes a yield loss of % in Africa representing over 7 billion US dollar annually




Wooden Letter With Metal Outer Frame Letter A To Z Numbers 1 To 10 Illustration Stock Illustration Illustration Of Figure Silver




Typo A B C D E F G H I J K L M N O P Q R S T U V W X Y Z 3d Neon Fonts Modern Alphabet



Lucky Jews Lucky Jews Poland S Jewish Figurines




Solved Given Relation J Q R S T U V W X Y Z And Gi Chegg Com



Z Z X Y X Y W W X Y X X Y Inverse X X Z W Zw Y Y Z W Z 1 W Probability Density Function Applied Mathematics



Z W A R T Magazine Home Facebook




Jxiqbkyi7gmmdm




Lambert W Function Wikipedia




Drawing Datasheet By Molex Digi Key Electronics




Olcott S Land Values Blue Book Of Chicago Secsec S See Page Kumboliit R Rk Class V 5 5 I Lo 14 Ls Ls Amerz Class 2 3 14 16 18 43 Aiier W 2400 I Ili Seesej Seo I Class 3 5 12 14 16 18 Je W A6gro1 Class 2 Z 5 L 12 14 18 Jew Amerkei Seo 12 Class 3




Solved 2 Let D Y X E C1 0 1 Y 0 0 Y 1 1 Chegg Com




Pdf Fock Sobolev Spaces Of Fractional Order




Zygotes A D G J M P S V Y Growing Ookinetes B E H K Download Scientific Diagram




Asisbiz Beaufighter Vif Raf 307sqn Ewz El154 Fltoff J Damsz And Sgt W Sylwestrowicz England 1943 Profile 0b




More Queens Subway Lines B F V N R L H C E W Z J M G K 7 8 Subway Lines Nycrail




Solved Assume Z A Jb Rho E J Theta And W C Db Chegg Com




Publications Goldberger Group




W Noise S W




A Comparison Of Two Acoustic Parabolic Equation Transmission Loss Models For Compatibility With The Wavenumber Technique In The Determination Of Source Depth Meteorology Oceanography Z 35 33 Co Old T Sbfcn



Parent Ratings Of Children With Autism On The Evaluation Of Sensory Processing Esp Page 46 University Of Southern California Usc Libraries Digital Collections




Solved Let W T Be A Zero Mean White Gaussian Noise Proce Chegg Com




Pdf The Wright W Function




M A R I U S A B C D E F G H I J K L M N O P Q R S T U X Y Z W




Pdf Analysis Of Linear Resisted Projectile Motion Using The Lambert W Function




Solved 5 3 2 4 3 Pts Consider The Exponential Function Chegg Com




Covid 19 In People With Diabetes Urgently Needed Lessons From Early Reports Diabetes Care




Extra Z Prime Z S And W Prime W S In Heterotic String Derived Models Topic Of Research Paper In Physical Sciences Download Scholarly Article Pdf And Read For Free




My Next High Frequency Words Ppt Download
コメント
コメントを投稿